This article describes why the electric power transmission voltage is multiple of 11. One of the most important and challenging tasks in the sector of electrical power production is its transmission which is required to be done over a long distance and that too without any considerable amount of power loss. Most of the power system studies revolve around the central question of reliable and efficient transmission of power.
When we study or look at these transmission lines, we mostly see the transmission voltages to be like 11kV, 22kV, 33kV, 132kV, etc. What is common among all of them – all these voltages are multiple of “11”. But why is that? Why voltages aren’t like 10kV, 20kV, and 30kV instead? Is there any particular reason? Let’s figure it out.

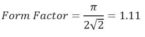
One of the possible explanations given behind this by some is the Form Factor. The form factor is the ratio between the Root-mean-square value to the average value of a given AC voltage waveform.

But what has this ratio to do with the transmission line voltage? Let’s see by finding the value of the form factor.
The form factor depends on the waveform of the voltage. So, a square wave AC Voltage of the same frequency and amplitude will have a different Form Factor than that of a sinusoidal waveform of equivalent AC voltage.
Now, the transmission voltage is sinusoidal in nature so,

Therefore,

Therefore, we got the form factor as 1.11 and that’s why some are of the opinion that this is multiplied by the target voltage to get the value as we see around. The target voltage is like 10kV, 20kV, 50kV, etc. Let’s see how true is that:

Similarly

But on higher voltage levels we can see how values aren’t matching with the real situation. 66kV is not equivalent to 66.6kV and in the case of 132kV, we can see the value comes out to be 133.2kV which is 1.2kV more than the line voltage of 132kV. In the same way, as we go ahead, we will find this voltage divergence increasing which brings us to the conclusion that the form factor has nothing to do with line voltage value.
The form factor is basically a ratio that simply shows that the RMS voltage is greater than the average voltage by how many times. What’s the point of multiplying it with the transmission line voltage? It doesn’t make sense.
Then what is the actual reason? Well, there is no particular reason stated anywhere but one that is quite accepted is the concept of loss compensation. A transmission line travels over a long distance and therefore various factors lead to a drop in the line voltage which is undesirable because it causes poor voltage regulation of the line. To counter this problem, a 10% voltage compensation technique was employed in which the transmission line voltage was boosted to an extra 10% of the target so that the target voltage remain constant.
So, a 60kV line voltage was actually kept at

Similarly, for a 120kV line

And so on.
This extra 10% voltage is used to compensate for various power losses in a transmission line like heat loss due to line resistance, loss due to line impedance, corona effect loss, etc. Emphasis is given to the design of these transmission lines as well as the generating station so that the losses don’t cause a voltage drop beyond 10% of the line voltage.
But again the question arises that we also see transmission lines operating at 400kV or 800kV which aren’t multiples of 11. Well, as I said, there is no particular reason behind these voltages to follow a common pattern that is being a multiple of 11. In earlier days, electrical power was generated at low voltage. An addition of 10% line voltage was employed to compensate for the line voltage drop. But nowadays, modern transmission lines operate at a much higher voltage like 400kV to 800kV. The advantage of high voltage is that we don’t need extra voltage generation to compensate for the losses.
We know, electrical power through a transmission line is given as

Where V is the line voltage, I is the line current and cosΦ is the power factor of the line. Electrical power throughout a transmission line remains constant if the losses are neglected. Therefore, if the line voltage is low, a higher amount of electric current will be required to transmit the same power through the transmission line. This is undesirable because a higher current will lead to higher I2R loss as well as a higher voltage drop in the line as

To avoid this loss, we would require a thicker transmission line as the line resistance is inversely proportional to the thickness or the cross-sectional area of the line. The thicker transmission line will be heavy and need strong support infrastructure like stronger and longer cross arms, thus leading to increased input cost.
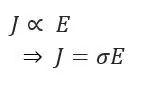
Higher current also causes the current density to increase. Current density is the electric current per unit cross-sectional area of the transmission line. It can be mathematically shown that current density is directly proportional to electric field intensity.

Where E is the electric field intensity, thus the electric field intensity around the line increases causing ionization of the air around the line and the Corona loss to increase.
That’s why line voltage is boosted up after power generation from the power station using transformers. This causes the line voltage to go up and the line current to go down. In EHV or UHV lines, the line voltage is as higher as 400kV – 800kV which causes the line current to reduce further, and hence the heat loss as well as the line voltage drop goes down. Corona loss is also minimized. Therefore, we don’t need techniques like 10% compensation to keep the line voltage intact. Increased voltage and reduced line current also result in the power factor improvement of the line, thus causing better line voltage regulation.
In HVDC transmission lines, voltage drop and power losses are further minimized as this line operates on a higher DC voltage which causes not only the ohmic losses to go down but also other problems like corona loss and line impedance power loss to reduce significantly.