This article describes the effect of harmonics on the power factor. The nonlinear loads cause harmonics in the electrical power system and adversely affect the power factor. The deterioration in power factor due to harmonics causes higher power loss and affects the performance of electrical machines and apparatus. Before understanding, how harmonics cause lower power factor, first we will understand the different terminology of power factor.
There are three power factor terms widely used for electrical networks. The terms are rather confusing and a clear understanding is a must for an electrical engineer.
- Displacement Power Factor
- Distortion power factor
- True Power Factor
What is Displacement Power Factor?
When linear loads are connected to a sinusoidal voltage source, the current drawn by the load is also sinusoidal. The current may be in phase with the applied voltage or in out of phase with the applied voltage. The phase displacement depends on the nature of the load. The linear devices are the devices that follow Ohm’s law. Inductor, capacitor, and resistance are the linear devices and the current drawn by these devices are in a linear relationship with the applied voltage.

The cosine of the phase angle difference ( CosΦ) between voltage and current is called the displacement power factor(DPF) or fundamental power factor.
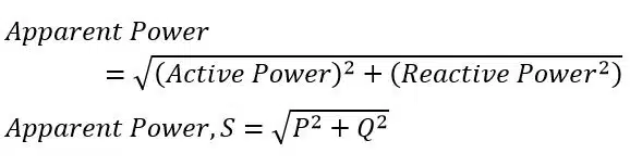
When AC voltage is fed to a resistive, inductive, and capacitive load, the current flowing through these components has different phase angle shifts with respect to the applied voltage. Current and voltage are in phase for resistive load. The resistive load draws only active power. It does not draw reactive power. The reactive power is wattless power. In the case of pure inductive and capacitive loads, the current is reactive in nature. Thus in an AC circuit, three power terms are used.
- The active or real power
- Reactive Power
- Apparent Power
The load triangle of three power is given below.

The ratio of real or active power to apparent power is known as the power factor.

The power factor of the resistive load is unity because the reactive power drawn by the resistive load is zero. The apparent power is the vector sum of the real power and reactive power.

The power factor of the system depends on the inductive load. The more inductive load draws large reactive power and thus the total apparent power increase and cause a low power factor.
What is the Distortion Power Factor?
In older days, most of the loads were linear loads. However, after advanced development in power semiconductor devices, every industry now uses variable frequency drives, DC drives, inverters, converters, and many types of electronic equipment for ease of operation and power saving.
The semiconductor devices like power diodes, MOSFET, and IGBTs are nonlinear types of load and the current drawn by these devices does not vary according to voltage. These devices do not follow Ohm’s law and are called non-ohmic or nonlinear devices.
The semiconductor devices draw reactive power from the source on account of harmonics produced by devices. The current drawn by the semiconductor device has harmonics. The integral multiples frequency of the fundamental frequency is called harmonics. Thus, these devices pollute the electrical power network. The harmonics are a type of distortion that does not do any real work and cause the drawing of watt-less current from the supply source.
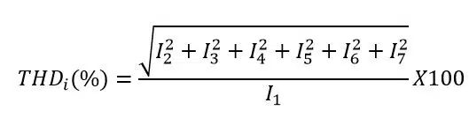
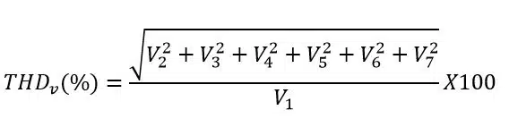
The harmonics can be measured with the help of a harmonics analyzer. The total harmonic distortion in voltage and current can be measured with the harmonic analyzer. The total harmonic distortion in voltage can be expressed by following mathematical expressions.

Similarly, total harmonic distortion in current can be expressed by following mathematical expressions.

V1 and I1 is the fundamental voltage and current.
The load with more total harmonic distortion draws more reactive power and the distortion power factor is low. The distortion power factor depends on the total harmonic distortion produced by the load.
The distortion power factor can be expressed by following mathematical expressions.

From the above formula, it is clear that the higher the THD, the lower the distortion factor will be. The power factor deteriorates with increased total harmonic distortion. The effect of harmonics on power factor is shown in the below graph.

What is the True Power Factor?
From the above discussion, it is clear that the overall power factor of the electrical network depends on;
- Displacement power Factor
- Distortion power Factor
The distortion power factor deteriorates with an increase in harmonics and thus it affects the overall power factor of the system.
The true power factor is equal to the product of displacement and distortion power factors.

The true power factor of an electrical network can be expressed by following mathematical expressions.

From the above expression of the true power factor, it is clear that the power factor lowers with an increase in harmonics. The true power factor remains low due to poor distortion power factor, even when there is a good displacement power factor.
Effect of harmonics on power factor
The harmonics affect the power factor in the following ways.
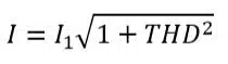
- The RMS current increase with an increase in harmonics. If there are no harmonics the RMS current is I1. The RMS current in the presence of harmonics will increase. The formula of RMS current is;

- KVA(apparent power) increases because of an increase in RMS current. KVA is inversely proportional to the power factor and it increases with a decrease in the power factor.

- The active power kW has to decrease if the kVA demand increases. Thus, it affects power delivery.
- This power factor decrease because of harmonics in the system.
How to increase the true power factor?
- The true power factor can be increased only if we increase the displacement power factor and distortion power factor.
- The displacement power factor can be increased by installing a capacitor bank across the supply source. The capacitor draws capacitive kVAR and nullifies the inductive kVAR.
- The harmonic filters such as passive, hybrid, and active filters improve the distortion power factor.
- The combination of capacitor banks and active harmonic filters improves the displacement and distortion power factors. And, as a result, the true power factor improves.
This is all about the effect of harmonics on the power factor.