Watts’s law and Ohm’s law describe the relationship between a circuit’s voltage, current, resistance, and power consumption. We are going to discuss Watt’s law in this article.
Let’s go into its detail!
What is Watts Law?
Watt’s law is defined as a “mathematical relationship between the electric parameters called voltage, current, and power.” We also use an electric circuit’s resistance to calculate power, voltage, and current.
Watts Law Formula
The formula for Watts law shows the relationships between power (watts), current (amps), and voltage(volt).

Let’s understand an example for a better idea!
Examples of Power Calculation using Watts Law
We have an electric circuit that has one voltage source and one resistance, as you see in the circuit diagram mentioned below:

We’ll solve this circuit with the following:
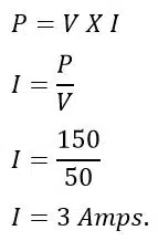
DC voltages= 150V
Resistance=50 ohms
We will use these two values for upcoming calculations.
“Watt’s law also states that power is equivalent to the product of voltage and current in a circuit.”
We have the following voltages, current, and power formulas:

Here, V and E stand for voltages, and I stand for current.
We can see that as the source voltage goes up or the current goes up, then according to the mathematical formulas of power, it’ll increase. Power is directly proportional to voltages and current according to the above formula.
The next formula is:

Now we have one more for power calculation. Here is it!

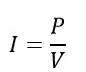
Now, we are going to calculate power from the above 3 formulas. But first, we need the current value of our circuit in order to get power.
Here, Ohm’s law will help us as it states the relationship between current voltages and resistance.
We will deduct three formulas of Ohm’s law.

Using the first formula of watts law:

Power consumed by the circuit is;

Using the second formula of watts law:

Using the third formula of watts law:

Now, we can say power is the product of current and voltage. We get the same power in a circuit when we use any of the three formulas of the watts law.
Watts Law Example 1
If you are an electrical engineer in a reputed firm, your task is to assess how many 450-watt bulbs you can use in one meeting room. For safety purposes, you have a circuit breaker for tripping in case of a fault. For safety, you can use 25-Ampers.
We will use the above example voltages as 150V.
Power

So, you can use 8 bulbs of power 450-watts. Or you can use 7 bulbs of 500 watts. The running capacity is kept below the installed capacity for safety purposes.
Watts Law Example 2
In your home, if you want to calculate the current for a lightning bulb of 500 watts, how would you go for it?
You can calculate the current using the watts formula.

For home, usually, you apply 110 to 220 volts to an electric bulb. I’m using 220 V for calculations here:
So,

Watts Law Example 3
As an electrical engineering student, if your instructor asked you to calculate the current for 110V and 100-Watt electric bulbs. What will be the calculation formula?
We know

You can calculate the current for 220 Volts and comment down your answer below in the comment section.
Watts Law & Ohms Law
We have discussed Watts law, which shows the relation between voltage, current, and power. Ohms’ law shows the relation between voltage, current, and resistance. We will discuss the terms used for these laws.
Resistance
The resistance is the property of a conductor that creates a hindrance in the flow of electric current passing through a conductor. It protects you from harmful energy in case of fault, as it blocks the current passage. Its unit is Ohm, and we represent it by the omega symbol (Ω).
Voltage
It is an electric force that pushes electrons forward and causes the flow of electric current in the circuit. We represent voltage with the symbol V.
Current
Current is defined as the flow of electrons in a circuit. We represent the current by symbol I. The electrical equipment draws current on the application of voltage and consumes electric power.
The Watts law formula can be derived using the Ohms law formula. Therefore, the Ohms law and Watts law are closely related.
We can represent Ohm’s law as:

Ohms Law Pie Chart

Watts Law Triangle
We can easily find the power using Watts’s law triangle. The law uses three quantities, and if we know the two quantities, then we can find the third quantity. The watts law triangle is given below.

From the above triangle, we can form three formulas for calculating electrical power in a circuit. When the equipment consumes power, the calculated power is positive. If the power is negative, it means the circuit delivers the power to the circuit.

Applications of Watts law
The applications of Watt’s formula are as follows.
- The watt formula is used to calculate the power drawn by the circuit. When a circuit is connected to a supply source, it draws electric current. The value of the power can be calculated by multiplying voltage and current.
- The watt formula can be used to calculate the power of new electrical installations like buildings, factories, shops, etc. The total connected load is first calculated, and after that, using the watt formula, the current is calculated. After the calculation of electric current, wire size is calculated.
- We can calculate the current using the watt formula(I = P / V).
- By using Watt’s law and Ohm’s law, we can calculate the resistance of the circuit, using Watt’s law ( I=P/V) and Ohm’s law ( R= V/I).