Coulomb’s Law in vector form gives a complete and precise description of the electrostatic force acting between two charged particles. Unlike the scalar form, which only defines the magnitude of the force, the vector form includes both magnitude and direction, allowing a more accurate understanding of how charges interact in space.
This law states that the electrostatic force between two stationary point charges is directly proportional to the product of their charges and inversely proportional to the square of the distance between them. It also defines the direction of the force along the line joining the two charges — either attractive or repulsive depending on the nature of the charges.
In this article, we will explore Coulomb’s Law in vector form, its formula, history, derivation, and applications in detail.
What is Coulomb’s Law in Vector Form?
Coulomb’s Law in vector form defines the electrostatic force between two stationary point charges by taking both the magnitude and direction of the force into account. It extends the scalar form by representing the force as a vector quantity, which becomes crucial when dealing with systems involving multiple charges or three-dimensional charge arrangements.
In simple terms, it not only tells how strong the force is but also where it acts — i.e., along the line joining the two charges.
Key Characteristics of Coulomb’s Law in Vector Form
- Proportional to the product of charges:
The force increases with the magnitude of the two interacting charges. - Inversely proportional to the square of the distance:
As the distance between charges increases, the force decreases rapidly with the square of the distance. - Directional dependence:
- Like charges repel each other.
- Unlike charges attract each other.
The force acts along the line joining the centers of the two charges.
- Medium dependence:
The force also depends on the nature of the medium separating the charges. A medium with higher permittivity reduces the force between charges.
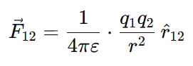
Mathematical Formula of Coulomb’s Law in Vector Form
If two charges q1 and q2 are separated by a distance rrr in a medium with permittivity ε, the force on q2 due to q1 is given by:

Where:

This vector representation clearly shows both the magnitude and direction of the electrostatic force, making it a fundamental expression in electrostatics.
Coulomb’s Law Derivation in Vector Form
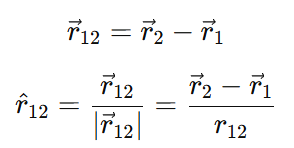
Consider two point charges q1 and q2 placed at points A and B with position vectors:

Where O is the origin.

1. Force on q2 due to q1
When q1 exerts a force on q2, the force vector F12 acts along AB. Using the vector law of triangles:

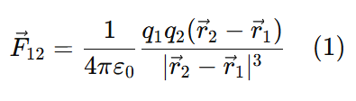
The vector form of the force is:

Substitute r^12:

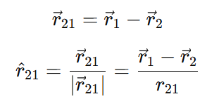
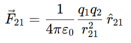
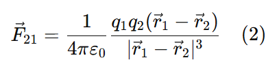
2. Force on q1 due to q2
When q2 exerts a force on q1, the force F21 acts along BA. Similarly:

The vector form of the force is:

Substitute r^21:

Key Points:
- F12=−F21 (Newton’s Third Law)
- Denominator |r2-r1|^3 accounts for both magnitude and direction.
- The force points away from the other charge if they are like charges, and toward it if they are unlike.
Applications of Coulomb’s Law in Vector Form
Coulomb’s Law in vector form is very useful in understanding how electric charges interact in real-life and theoretical situations. It helps engineers and students analyze both the magnitude and direction of electrostatic forces.
- Analyzing complex charge systems:
It helps calculate the force between multiple charges placed at different positions. - Finding the net force on a charge:
The vector form allows easy determination of the total force on a charge due to several other nearby charges. - Electric field simulation:
Used in software like MATLAB, COMSOL, and ANSYS to model and visualize electric fields and potential distributions. - Electrostatic equilibrium study:
Helps find the point where the net electrostatic force on a test charge becomes zero. - Designing electrostatic instruments:
The principle is applied in designing sensors, charge meters, and electric field measuring devices. - Atomic and molecular studies:
Explains the attraction and repulsion forces between charged particles such as electrons and protons. - High-voltage engineering:
Used to analyze charge distribution and field intensity around insulators and conductors to improve insulation safety.
Conclusion
Coulomb’s Law in vector form provides a complete and realistic understanding of electrostatic interactions. By expressing force as a vector, it accounts for both magnitude and direction, making it indispensable for analyzing charge systems, electric fields, and electrostatic equilibrium. This vector approach forms the foundation for advanced topics in electromagnetism, field theory, and electrical engineering applications.
Related Articles:
- Difference between Force and Power
- Difference between Electromotive Force and Potential Difference
- MMF in Electrical: What is Magnetomotive Force (MMF)?
- Faraday’s Laws of Electromagnetic Induction
- Coulomb’s Law – Statement, Formula, Limitations & Applications Explained
- Biot Savart Law: Statement, Derivation, Importance & Applications