- Biot–Savart Law Definition: The Biot–Savart Law defines how a steady electric current produces a magnetic field at a point in space.
- Magnetic Flux Density Relationship: The magnetic flux density (dB) is directly proportional to the current (I), the length of the current element (dl), and the sine of the angle between the current element and the position vector, and inversely proportional to the square of the distance.
- Role of the Proportionality Constant: The constant depends on the magnetic properties of the surrounding medium and includes the absolute permeability (μ₀) and relative permeability (μᵣ).
- Total Magnetic Field Calculation: The net magnetic field at a point is obtained by integrating the contributions of all infinitesimal current elements along the conductor.
- Relation to Ampere’s Law: For an infinitely long straight conductor, the Biot–Savart Law reduces to the same expression obtained using Ampere’s Law.
The Biot Savart Law describes the magnetic field generated by a constant electric current. It is a well-known fact that when an electric current flows through a conductor, it generates a magnetic field around it. When a constant electric current flows through the conductor, the magnetic field produced by it can be described by the Biot Savart law.
Basically, the Biot Savart law describes the relationship between the magnetic flux density and the length of the conductor, as well as the magnitude, direction, and position of the electric current. This law was first stated and mathematically derived in 1820 by the two French physicists Jean Baptiste Biot and Felix Savart.

The Biot Savart Law determines the magnetic flux density at a point in space due to a nearby current-carrying conductor. According to this law, the magnetic field depends on the current, the length of the current element, and the sine of the angle between the current direction and the position vector of the observation point, while it decreases with the square of the distance from the conductor.
Statement of Biot Savart Law
The Biot Savart law states that the magnetic flux density produced by a tiny current element at any point is:
- Directly proportional to the length of the current element, the magnitude of the current and sine of the angle between the direction of current and the line joining the current element and the point of the magnetic field, and
- Inversely proportional to the square of the distance between the current element and the point of the magnetic field.
Where the direction of the magnetic field at that point is the same as the direction of the dl x r.
Biot Savart Law Formula
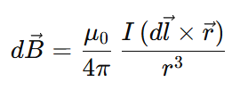
The Biot Savart Law states that the infinitesimal magnetic field vector d𝐵 at a point P due to a small current element I d𝐥 is:

Where:
- d𝐵: Infinitesimal contribution to the magnetic field at a point
- dl: Small segment of the current-carrying conductor
- I: Electric current flowing through the conductor
- r: Distance from the conductor segment to the observation point P
- μ₀: Permeability of free space ()
Derivation of Biot Savart Law
Let’s consider a long current-carrying wire with current I, and a point P located in the surrounding space. Consider an infinitesimally small segment of the wire, denoted as dl, situated at a distance r from point P. Here, r represents a position vector extending from the segment dl to P, forming an angle θ with the direction of the current in that tiny section of the wire.

To better understand magnetic fields, consider the magnetic field density at point P produced by an infinitesimal segment of a current-carrying wire, denoted as dI. The magnitude of this magnetic field is directly proportional to the electric current flowing through that specific segment of the wire.
Since the current in this infinitesimal segment is the same as the current I flowing through the entire wire, we can mathematically express this relationship according to the statement of the Biot–Savart Law as:
(i). dB is directly proportional to I, i.e.

(ii). dB is directly proportional to dl, i.e.

(iii). dB is directly proportional to Sinθ, i.e.

(iv). dB is inversely proportional to r2, i.e.

Hence, by adding equations (1), (2), (3), and (4), we get,


Where K is a constant of proportionality, its value depends on the magnetic properties of the medium and the system of units employed.
In the SI system of units, the value of K is given by,

Hence, from Eqn. (5) & (6), we get,

The expression in equation (7) is known as Biot Savart’s law.
Biot-Savart Law for Straight Current-Carrying Wire

To calculate the magnetic flux density B at point P due to the entire wire, we integrate dB along the full length of the conductor:

Putting the value of dB from equation (7) in equation(8), we get

By putting the value of r in equation(10), we get

Putting the value of dl in the equation(12), we get,

This value of angle θ depends upon the length of the wire and the position of the point P. Let angle θ varies from θ1 to θ2. Hence, the magnetic flux density at point P due to the whole length of the conductor is;
This angle θ depends on the length of the wire and the position of point P. Let the angle θ vary from θ1 to θ2. Hence, the magnetic flux density B at point P due to the entire length of the conductor is:

Now, consider the wire to be infinitely long. In this case, the angle θ ranges from 0 to π. Substituting these limits into equation (17) gives the resulting expression for the magnetic field.

Biot–Savart Law Formula (Vector Form)
The Biot–Savart law in vector form describes the magnetic field produced by a small element of a current-carrying conductor. It is expressed as:

Where:
- represents the infinitesimal magnetic field at a point
- μ0 is the permeability of free space (H/m)
- I is the current flowing through the conductor
- is the infinitesimal vector length of the conductor in the direction of current
- is the position vector from the current element to the observation point
This expression shows that every tiny segment of a current-carrying conductor generates a magnetic field at a point in space. The strength of this field depends on how far the point is from the conductor, the orientation of the current element, and the direction determined by the vector cross product.
How Biot-Savart Law Relates to Ampère’s Law for Infinitely Long Wires
For an infinitely long, straight current-carrying wire, the Biot–Savart Law calculates the magnetic field by summing the contributions from all infinitesimal wire segments. However, due to the symmetry of the wire, the magnetic field at a given distance forms uniform concentric circles around it. This symmetry allows the Biot–Savart Law to be simplified into the form used in Ampère’s Law.
According to Ampère’s Law, the line integral of the magnetic field B around a closed path encircling the wire is directly proportional to the current I passing through the wire:

Here, μ0 is the permeability of free space. This demonstrates that for highly symmetric situations, such as an infinitely long wire, Ampère’s Law provides a faster and more practical method to determine the magnetic field compared to the full Biot–Savart integration.
Quick Tip to Choose
- Use Biot–Savart when you need B at a specific point or have irregular current paths.
- Use Ampère’s Law when the problem has symmetry (straight wires, solenoids, toroids) and you need B along a closed path.
Importance of Biot Savart Law
Biot Savart’s Law is important due to the following reasons:
- It is the fundamental law of magnetostatics.
- This law can be equally applied to various small conductors that carry electric current.
- This law can be applied for symmetrical current distribution.
Applications of Biot Savart Law
The Biot–Savart Law is widely applied to determine magnetic effects in various scenarios:
- Calculating the magnetic field generated by a steady current in an infinitely long straight conductor.
- Determining the magnetic field along the axis of a circular current-carrying loop.
- Analyzing magnetic interactions at the atomic or molecular scale.
- Modeling fluid dynamics in aerodynamics, such as the velocity induced by vortex lines.
- Evaluating the force between parallel current-carrying conductors and the field at the center of a current-carrying arc.
Solved Problem on Biot Savart Law
Problem 1: A current element whose length is 3 cm and has a current of 20 A is placed at the origin along the X-axis. What will be the magnetic flux density at a distance of 0.9 meters from the origin on the Y-axis?
The conditions described in the question are shown in the following figure,

Here,

And,

Now, according to Biot Savart’s Law, the magnetic field density at point “P” is


Conclusion
The Biot–Savart Law establishes a fundamental relationship between electric currents and the magnetic fields they generate. It states that the magnetic field at a point in space is directly proportional to the current and the length element of the conductor, and inversely proportional to the square of the distance from the element to the point.
This law is crucial for calculating the magnetic field produced by any current-carrying conductor, regardless of its shape. It also emphasizes the vector nature of magnetic fields, showing that the direction of the field depends on both the direction of the current and the position vector.
The Biot–Savart Law serves as the foundation for understanding and designing electromagnets, solenoids, and magnetic field distributions in practical applications.

Related Articles: