In this article, we will discuss the important reasons for using a 50 Hz AC power system in India over a 60 Hz AC power system in the US.
But before that, it is important to understand the frequency and why it is so important in AC power systems.
What is Frequency?
Frequency is defined as the number of cycles of a repeating signal per unit of time, i.e.

The number of cycles of AC signal measured per second is called Hertz (Hz). Thus, the unit of frequency measurement is Hertz (Hz).
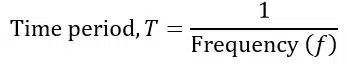
The duration of one cycle in a repeating signal is called the time period of the signal. Thus, the time period is the reciprocal of the frequency of the signal, i.e.

For example, if a sinusoidal signal in the AC system completes 50 cycles per second, then the frequency of the signal is 50 Hz and the time period is 20 milliseconds.
What is a 50 Hz AC System?
A power supply system is said to be a 50 Hz AC system when the waveform of the current or voltage completes 50 cycles in a second. This means that the waveform of the current or voltage changes its direction alternatively 50 times in a second. The 50 Hz AC system is very popular in India. In India, AC power has a sine waveform generated and transmitted at 50 Hz.
What is a 60 Hz AC System?
A power supply system is said to be a 60 Hz AC system when the waveform of the current or voltage completes 60 cycles per second. In this system, the waveform of the current or voltage changes its direction alternatively 60 times in a second. The 60 Hz AC system is extensively used in the US. In the US, AC power having a sine waveform is generated and transmitted at 60 Hz.
Reason for use of 50 Hz supply in India & 60 Hz in the US
Now, let us discuss all the possible reasons why a 50 Hz supply power system is used in India and a 60 Hz supply power system in the US.
When the British ruled India, they chose a 50 Hz AC power system and implemented it on a large scale. On the other hand, the US implemented its power system and developed an appliance that operated at 60 Hz. After an extended period, when they examined their power systems, it became pretty difficult to change the operating frequency due to the large scaling of the system and devices. It is the most fundamental reason behind the use of a 50 Hz supply system in India and 60 Hz in the US.
Advantage of a 50 Hz Power system over a 60 Hz power system
1. Reduction in Constant Power Losses:
In any AC electrical machine, the power loss due to hysteresis and eddy current is considered the constant loss. Both hysteresis loss and eddy current loss are frequency-dependent losses. The eddy current loss is directly proportional to the supply frequency, and the hysteresis loss is directly proportional to the square of the supply frequency. Thus, the constant losses decrease with a decrease in the supply frequency. Therefore, the machine efficiency increases with a decrease in the supply frequency.
2. Reduction in Impedance & Losses of the Transmission Line:
A practical transmission line has three important parameters: line resistance, line inductance, and line capacitance. Line inductance and capacitance cause line reactance, which is a function of the frequency of power transmission through the line. Therefore, the line reactance decreases with a decrease in the supply frequency.
The power loss in the transmission line is given by,

If we consider only inductive effect, then

Hence, the above equation clearly shows that reducing the supply frequency reduces the impedance in the path of current through the transmission line, reducing the variable power loss(I2Z).
The increase in the supply Voltage at the utility side decreases the current, which causes lower power loss in transmission and distribution. The power loss is proportional to the square of the current. Thus, if we increase the voltage from 110 V to 220 V, the current will decrease to half, and the power loss becomes 1/4th with a 220 V system. Thus, the line loss reduces with an increase in voltage.
3. The Reduced Frequency Increases the Power Generation Capacity:
The reduction in the frequency of the system reduces the auxiliary power consumption. As we know, the decrease in the supply frequency decreases the losses of the plant, hence reducing the auxiliary power consumption in the system. Consequently, the power generation capacity is increased due to a reduction in the system’s frequency.
4. Reduction in Conductor Size:
The reduction in the frequency of the system decreases the impedance of the transmission line. Thus, the current carrying capacity of the line is increased, and hence, we need a smaller-sized conductor for power transmission. Therefore, the reduction in supply frequency reduces the size of the conductor in the transmission line.
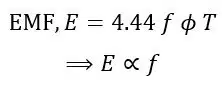
5. Reduced Insulation Cost:
When the frequency of power an alternator generates increases, the output voltage also increases. Thus, it requires more insulation and has a high insulation cost. As we know, for an alternator,

Also,

6. Reduced Vibrations in Machines:
The machines operating at lower frequencies give fewer vibrations. In an electrical machine, the leading cause of vibrations is harmonics and alternation in the power supply.
7. Reduced Corona Loss:
The electric corona loss depends on the frequency of the system. The corona loss can be calculated using the following mathematical formula.

Therefore,

Therefore, reducing supply frequency reduces the corona loss in the line. Thus, a 50 Hz system has less corona loss than a 60 Hz system.
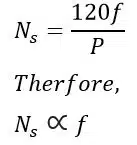
8. Increase in the Speed of the Machine
The speed of the induction motor and synchronous machines is proportional to the supply frequency. The speed of the machine is;

Hence, the machine parts need to be designed for a higher speed if we use a 60 Hz power supply system.
Disadvantages of 50 Hz Supply System
As discussed above, a 50 Hz supply system has several advantages, but there are some disadvantages as well.
- The reduced supply frequency increases the size of the electrical machines. Which in turn increases the cost and area required for installation.
- The standard voltage rating of the 50 Hz system is 230 V per phase, and the standard voltage of the 60 Hz system is 110 V. Thus, the higher voltage has more electric safety issues against electric shocks.
FAQs on Electrical Frequency in India
Q1. What is the standard electrical frequency in India?
The standard electrical frequency in India is 50 Hz.
Q2. Why does India use a 50 Hz frequency?
India uses 50 Hz frequency as a standard due to historical reasons and to align with European standards, as many of the early electrical systems and equipment were imported from Europe, where 50 Hz is the standard.
Q3. Can electrical equipment designed for 60 Hz be used in India?
Electrical equipment designed for 60 Hz can sometimes be used in India with the help of frequency converters. However, this is not always practical or efficient, and it is generally recommended to use equipment that matches the local frequency standards.
Q4. What should I consider when purchasing electrical equipment for use in India?
When purchasing electrical equipment for use in India, ensure that it is rated for 50 Hz frequency and the appropriate voltage (230V/240V). This ensures compatibility with the Indian power grid and helps avoid operational issues.
Q5. What happens if the frequency deviates from the standard 50 Hz?
If the frequency deviates significantly from the standard 50 Hz, it can cause issues with the operation of electrical equipment and the stability of the power grid. Minor deviations are normal and managed by grid operators, but significant deviations can indicate problems that need to be addressed promptly.