In this article, we will discuss different types of DC generators, their definition, features, and characteristics equations.
An electromechanical energy conversion device that converts mechanical energy into electrical energy is called a generator. Depending on the type of electricity produced, the electric generators are mainly classified into two types namely,
- AC Generator
- DC Generator
An electromechanical energy conversion device that converts rotational mechanical energy into electrical energy in the form of DC (Direct Current) is called a DC generator or direct current generator. Whereas, an electromechanical energy conversion device that converts mechanical energy into electrical energy in the form of alternating current (AC) is known as an AC generator or alternating current generator. In this article, we will limit our discussion to DC generators and their types only.
Types of DC Generators

Based on the type of excitation system used, the DC generators are classified into the following two types:
- Separately Excited DC Generator
- Self-Excited DC Generator
Separately Excited DC Generator
Separately Excited DC Generator is a type of DC generator in which the field winding to produces the magnetic field is excited from a separate (or external) source of DC supply is called a separately excited DC generator.

The circuit diagram of a typical separately excited DC generator is shown in the figure-1. It consists of a field winding that is supplied by a DC source like a battery through a variable resistor. The armature winding is directly connected across the load to which the generated electric power is supplied.
In practice, the magnitude of the generated voltage of separately excited generated is regulated in two ways:
- By changing the field current (magnetic flux). Where, the greater the field current, the higher will be the generated voltage.
- By changing the speed of armature rotation. Where, if the speed of rotation of armature is more, the generated voltage is also high.
Although, due to some technical and economical reasons, the separately excited DC generators are less popular these days.
Important Relations Related to Separately Excited DC Generator
By referring to the circuit diagram (shown in figure-1), we can write the following characteristics equations of a separately excited DC generator.
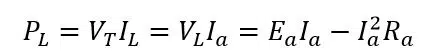
(1). Armature current of the generator

i.e. in the case of a separately excited DC generator, the armature current and load current are the same.
(2). Terminal voltage of the generator

(3). Total electric power generated by the generator

(4). The power delivered to the load by the separately excited DC generator

Self-Excited DC Generator
A type of DC generator in which the field winding is excited by a part of the power produced by the generator itself is called a self-excited DC generator. Therefore, it is one major advantage of a self-excited DC generator that it does not require any external source of power for the field winding excitation.
The self-excited DC generators are of three types according to the connection arrangement of field winding and armature winding.
- Series DC Generator
- Shunt DC Generator
- Compound DC Generator
Series DC Generator
A series DC generator is the one in which the field winding is connected in the series with the armature winding. The figure-2 shows a circuit diagram of a typical series DC generator.

From the figure, it is clear that the whole armature current flows through the series field winding and the load. Therefore, the field winding of a DC series generator is made with thick wire and few turns.
With the help of the circuit diagram of the series DC generator, we can write the important expression of a DC generator as follows:
(1). Armature current of the DC series generator is,

(2). Terminal voltage of the DC series generator is,

(3). Total power produced by the generator is,

(4). Power delivered to the load by the generator is,

In practice, the series DC generators are used in locomotives for regenerative braking, as boosters in signal transmission, etc.
Shunt DC Generator
A shunt DC generator is the one in which the armature winding and field are connected in parallel. Thus, in this generator, the terminal voltage and the voltage across the shunt field winding are the same. Therefore, the field winding of a DC shunt generator contains a large number of turns of thin wire so a minimum current flow through it. The circuit diagram of a shunt DC generator is shown in the figure-3.

By referring to this circuit diagram, we can write the expression of a DC shunt generator as:
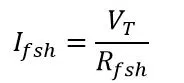
(1). Armature current of shunt DC generator is,

(2). The current through the shunt field winding is

(3). Terminal voltage of a shunt DC generator is,

(4). Total power generated by the shunt DC generator is,

(5). Power delivered to the load by the generator is

The DC shunt generators are used in general lighting, battery charging, excitation of synchronous machines, electrolytic processes, etc.
Compound DC Generator
As the name implies, a compound DC generator is a compound of series and shunt generators, i.e. it has both series and shunt field winding to produce the required magnetic field in the machine.
Depending on the connection arrangement of series and shunt field windings, the compound DC generators are of two types namely,
- Short-Shunt Compound Generator
- Long-Shunt Compound Generator
Short-Shunt Compound DC Generator
In the short-shunt compound DC generator, the shunt field winding is connected in parallel with the armature, and then with this combination, a series field winding is connected as shown in the figure-4.

The important expressions of a short shunt compound DC generator are as follows.
(1). Armature current of a short shunt generator is,

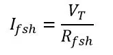
(2). Shunt field current of the short shunt generator is,

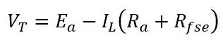
(3). Voltage across the load terminals of a short shunt generator is,

Long-Shunt Compound DC Generator
When the series combination of the armature and the series field winding is connected in parallel with the shunt field winding, we call this a long-shunt compound generator. The circuit diagram of a long-shunt compound DC compound generator is shown in figure-5.

From the circuit of the long-shunt compound generator, we can write the following expressions.
(1). Armature current of long shunt compound generator is,

(2). Shunt field current of the long shunt compound generator is,

(3). Voltage across the load terminals of the long shunt compound generator is,

Note: Both short-shunt and long-shunt compound generators may be further classified into two types namely Cumulative Compound Generator and Differentially Compound Generator. In the cumulatively compound generator, the field of the shunt and series assist each other, whereas, in a differentially compound generator, the fluxes of the series field and shunt field oppose each other.
The cumulatively compound generators are used in lighting and power supply applications. While the differentially compound generators are mainly used in arc welding applications.
Related Articles: